 |
|
 |
| Автор |
Сообщение
|
Селиван Виктор
Проектировщик

Зарегистрирован: Сб 2 Январь 2010, 14:33
Сообщения: 6689
Регион: г.Челябинск
|
Добавлено:
Ср 14 Май 2025, 07:33
|
  |
| Юрий Хошев писал(а): |
| Юрий Хошев писал(а): |
| пар надо смешивать с воздухом еще в каменке... |
Исторически случилось так, что смешение пара с воздухом в каменке, использовавшееся еще век назад Сюзором в Петербурге, не прижилось - не нашло широкого применения в банях, а было развито лишь полвека назад в саунах.
Причин множество, и все они в основном технического порядка.
Поэтому реальный интерес для нынешних бань представляет смешение пара из каменки с воздухом бани непосредственно в самом объеме (пространстве) бани.
При смешении пара с воздухом (без охлаждения пара стенами, вениками и телами) получаем метеоточки типа вышеприведенной "6" - климат перегретого (то есть ненасыщенного) пара.
Считается, что такие метеоточки (условно называемые порой легким паром, который обжигает тело без ошпаривания) замечательны, якобы, тем, что влажный воздух сначала охлаждается по горизонтальной стрелке 7 влево без конденсации. И поэтому нагревает тело лишь за счет температуры воздуха, а не за счет его влажности, то есть не за счет конденсации пара (и лишь потом после охлаждения, а не сразу). Такая точка зрения не точна, поскольку такое охлаждение (до касания тела человека) происходит (без смешений) за счет нагрева воздуха в бане, а не нагрева тела.
В действительности же, воздух 6, касаясь тела человека, формирует у кожи "холодную рубашку" (тело в холодном "коконе") - воздух неминуемо имеет у кожи пониженную температуру и влажность.
Но и это не может объяснить "прохладность рубашки", поскольку тепловой поток и конденсация не могут исчезнуть просто из-за "холодности" кожи. То есть и это наглядное пояснение не точно.
Чтобы определиться, попробуем проанализировать взаимодействие ЛП с телом математически. |
Юрий Михайлович мне нравятся ваши научные изыскания . Но ещё как только началась эта тема -я спрашивал про рассмотрение лёгкого пар вместе с помещением. Вот скажите пожалуйста в одних парилках заходишь в парилку и сразу покрываешься конденсатом из тяжелого пара. А в другой парилке заходишь и медленно начинаешь потеть. И в это время никто не поддает на камни.Ведь в парилке не только пар. Но и стены,потолок пол, печь излучают тепло и излучают его по разному в разных парилках. Это зависит от материала отделки парилки. От теплогенератора. Например некоторые мои заказчики ходят в баню где я построил им печь без веников. Они просто сидят и наслаждаются ИК излучением от стен , от печи. Обычно такой " кайф" на второй день после протопки теплоёмкой печи. Пар там никто не генерирует. Вот в прошлом году был интересный заказчик -он попросил ему поставить рядом с кирпичной печью металлическую печь. Когда я запускал в работу обе печи по очереди. Очень значительный контраст микроклимата с железной печью и кирпичной. Когда была протоплена металлическая печь -очень жёсткое тепловое излучение. Пар очень тяжёлый( мокрый) -тяжело дышать в парилке. Тело сразу покрывается конденсатом. Печь эта кстати защищена от излкчения металла -обложена камнями. На следующий день протопил кирпичную печь. Приятно сидеть в парилке, легко дышится, пар лёгкий. Тело потеет -а не покрывается конденсатом. Просто рассмотрение одного лёгкого или тяжёлого пара считаю не корректным. Вон Евгений Исупов исследует и пар и парилку совместно. Вот по его графикам и надо делать заключение.
|
_________________ Я за здоровую конкуренцию в печном деле и за работу во благо потребителям услуг печника.Тел. +79507468555
|
|
     |
 |
Юрий Хошев

Зарегистрирован: Пн 17 Ноябрь 2008, 18:32
Сообщения: 5732
Регион: Москва
|
Добавлено:
Ср 14 Май 2025, 11:51
|
  |
| Селиван Виктор писал(а): |
| ...в парилке не только пар. Но и стены,потолок пол, печь излучают тепло и излучают его по разному в разных парилках.... некоторые мои заказчики ходят в баню где я построил им печь без веников. Они просто сидят и наслаждаются ИК излучением от стен , от печи. Пар там никто не генерирует. Вот в прошлом году был интересный заказчик -он попросил ему поставить рядом с кирпичной печью металлическую печь... металлическая печь -очень жёсткое тепловое излучение. Пар очень тяжёлый( мокрый) -тяжело дышать в парилке. Тело сразу покрывается конденсатом.... протопил кирпичную печь. Приятно сидеть в парилке, легко дышится, пар лёгкий. Тело потеет -а не покрывается конденсатом. |
Ясно.
К сожалению, эта паровая тема не об этом.
И даже весь этот печной форум не об этом.
Но в философском сущностном плане Вы правы.
Ваши вопросы очень важные. И даже основополагающие.
=
В основе основ лежит древнейшее понятие пара (от слова преть) как внутреннего тепла, в том числе животного.
Не водяного пара в воздухе, а именно чувственного тепла (Пръ - славянское и tepidus - латынь).
"С легким паром!" - это приятное тепло внутри тела после горячей бани.
А в Кургане (Челябинском) называли тепло в печи "вольным паром".
Забылась у нас парная суть. Осталась лишь в осколках бытового языка.
Бежал - запарился. Солнце парит. Пар костей не ломит.
Парная изба - теплая (отапливаемая) изба.
Парная баня - это теплое омовение (мовь).
Паровая баня - это парная баня с водяными парами в воздухе.
Так что парные (теплые-жаркие) бани без увлажняющих каменок - это реальность.
Парные бани - это и прогрев лучистым теплом (и со стен, и от солнца).
Это и прогрев на теплых каменных поверхностях хаммамов.
Это и прогрев от физических нагрузок (до 400 Вт) в римских термах.
И даже прогрев в теплой одежде от масловского "биорезонанса" (от внутреннего тепла покоя 100 Вт).
***Моя попытка в Википедии (пройти текстуально весь исторический путь развития парных бань всех времен и народов) потерпела фиаско - такое наукообразие сочли излишним для энциклопедии, было названо "оригинальным научным исследованием" и под формальным предлогом (запрета цитирования социальных форумов) было удалено украинским модератором ВикиЗауэром.
https://m.eruditor.one/file/4063916/?note=edited
Но итог у меня в голове сохранился неизменным:
Подменив "пар в бане" цивилизованным понятием "водяной пар в воздухе", мы потеряли древнейшую суть тепла в бане.
| Селиван Виктор писал(а): |
| Вон Евгений Исупов исследует и пар и парилку совместно. Вот по его графикам и надо делать заключение. |
Да, исследовать и анализировать полезно. И даже необходимо.
Сделайте, пожалуйста, такое заключение "по графикам".
А то Исупов не очень-то стремится делать выводы из своих измерений.
|
| Описание: |
|
| Размер файла: |
122.64 КБ |
| Просмотров: |
24 раз(а) |

|
| Описание: |
|
 Скачать |
| Название файла: |
khoshev_ium_parnaia_bania_kak_osobyi_sposob_teplogo_mytia.pdf |
| Размер файла: |
6.22 МБ |
| Скачено: |
29 раз(а) |
|
|
  |
 |
Юрий Хошев

Зарегистрирован: Пн 17 Ноябрь 2008, 18:32
Сообщения: 5732
Регион: Москва
|
Добавлено:
Ср 14 Май 2025, 14:04
|
  |
| Юрий Хошев писал(а): |
| Чтобы определиться, попробуем проанализировать взаимодействие ЛП с телом математически. |
К сожалению, стал барахлить сканер. Так что, с изложением будут трудности.
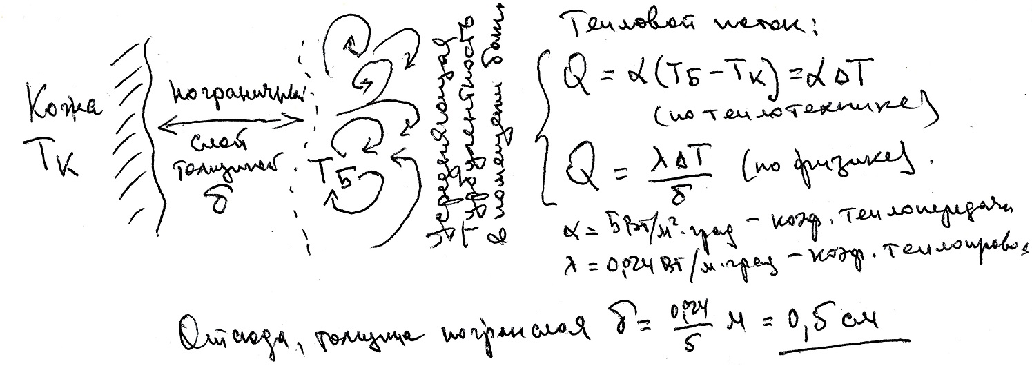
Тепло-паро-изолирующую "рубашку" около кожи человека будем рассматривать как плоский переходный погранслой условно неподвижного воздуха толщиной "дельта" между кожей К и атмосферой бани Б (поскольку в Б всё усредняется за счет турбулентно-циркуляционных конвекций).
Зная экспериментально замеренные коэффициенты теплопередачи и теплопроводности, можно оценить эффективную толщину погранслоя - 5 мм.
Действительно, в строительстве в толщинах стеклопакетов менее 1 см турбулентными свободно-конвективными теплопереносами пренебрегают и считают, что в зазоре стеклопакета теплоперенос происходит за счет диффузионного тепло-паро-переноса.
Почему у Е.А.Исупова датчикам необходимы отступки от шапки величиной порядка 5 см не совсем понятно (вероятно, из-за влияния излучения).
|
| Описание: |
|
| Размер файла: |
168.6 КБ |
| Просмотров: |
22 раз(а) |

|
|
|
  |
 |
Селиван Виктор
Проектировщик

Зарегистрирован: Сб 2 Январь 2010, 14:33
Сообщения: 6689
Регион: г.Челябинск
|
Добавлено:
Ср 14 Май 2025, 15:26
|
  |
| Юрий Хошев писал(а): |
| Селиван Виктор писал(а): |
| ...в парилке не только пар. Но и стены,потолок пол, печь излучают тепло и излучают его по разному в разных парилках.... некоторые мои заказчики ходят в баню где я построил им печь без веников. Они просто сидят и наслаждаются ИК излучением от стен , от печи. Пар там никто не генерирует. Вот в прошлом году был интересный заказчик -он попросил ему поставить рядом с кирпичной печью металлическую печь... металлическая печь -очень жёсткое тепловое излучение. Пар очень тяжёлый( мокрый) -тяжело дышать в парилке. Тело сразу покрывается конденсатом.... протопил кирпичную печь. Приятно сидеть в парилке, легко дышится, пар лёгкий. Тело потеет -а не покрывается конденсатом. |
Ясно.
К сожалению, эта паровая тема не об этом.
И даже весь этот печной форум не об этом.
Но в философском сущностном плане Вы правы.
Ваши вопросы очень важные. И даже основополагающие.
=
В основе основ лежит древнейшее понятие пара (от слова преть) как внутреннего тепла, в том числе животного.
Не водяного пара в воздухе, а именно чувственного тепла (Пръ - славянское и tepidus - латынь).
"С легким паром!" - это приятное тепло внутри тела после горячей бани.
А в Кургане (Челябинском) называли тепло в печи "вольным паром".
Забылась у нас парная суть. Осталась лишь в осколках бытового языка.
Бежал - запарился. Солнце парит. Пар костей не ломит.
Парная изба - теплая (отапливаемая) изба.
Парная баня - это теплое омовение (мовь).
Паровая баня - это парная баня с водяными парами в воздухе.
Так что парные (теплые-жаркие) бани без увлажняющих каменок - это реальность.
Парные бани - это и прогрев лучистым теплом (и со стен, и от солнца).
Это и прогрев на теплых каменных поверхностях хаммамов.
Это и прогрев от физических нагрузок (до 400 Вт) в римских термах.
И даже прогрев в теплой одежде от масловского "биорезонанса" (от внутреннего тепла покоя 100 Вт).
***Моя попытка в Википедии (пройти текстуально весь исторический путь развития парных бань всех времен и народов) потерпела фиаско - такое наукообразие сочли излишним для энциклопедии, было названо "оригинальным научным исследованием" и под формальным предлогом (запрета цитирования социальных форумов) было удалено украинским модератором ВикиЗауэром.
https://m.eruditor.one/file/4063916/?note=edited
Но итог у меня в голове сохранился неизменным:
Подменив "пар в бане" цивилизованным понятием "водяной пар в воздухе", мы потеряли древнейшую суть тепла в бане.
| Селиван Виктор писал(а): |
| Вон Евгений Исупов исследует и пар и парилку совместно. Вот по его графикам и надо делать заключение. |
Да, исследовать и анализировать полезно. И даже необходимо.
Сделайте, пожалуйста, такое заключение "по графикам".
А то Исупов не очень-то стремится делать выводы из своих измерений. |
СПАСИБО!
|
_________________ Я за здоровую конкуренцию в печном деле и за работу во благо потребителям услуг печника.Тел. +79507468555
|
|
     |
 |
Vladimir-spb

Зарегистрирован: Вт 24 Январь 2017, 17:28
Сообщения: 1476
Регион: S-Pb
|
Добавлено:
Ср 14 Май 2025, 15:49
|
  |
| Юрий Хошев писал(а): |
***Моя попытка в Википедии (пройти текстуально весь исторический путь развития парных бань всех времен и народов) потерпела фиаско - такое наукообразие сочли излишним для энциклопедии, было названо "оригинальным научным исследованием" |
Прочитал.. Круто !!! Спасибо!! Утащил в свою библиотеку..
|
|
|
|
   |
 |
Юрий Хошев

Зарегистрирован: Пн 17 Ноябрь 2008, 18:32
Сообщения: 5732
Регион: Москва
|
Добавлено:
Ср 14 Май 2025, 21:29
|
  |
|
  |
 |
Юрий Хошев

Зарегистрирован: Пн 17 Ноябрь 2008, 18:32
Сообщения: 5732
Регион: Москва
|
Добавлено:
Ср 14 Май 2025, 21:56
|
  |
| Юрий Хошев писал(а): |
| Тепло-паро-изолирующую "рубашку" около кожи человека будем рассматривать как плоский переходный погранслой условно неподвижного воздуха толщиной "дельта"... |
Пограничный слой в первом приближении можно рассмотреть по общепринятой методике ориентировочного диффузионного расчета тепло-влаго-проницаемой стены (см.вложение1).
То есть нарисуем сначала линейные пространственные распределения температуры Т и абсолютной влажности А (концентрации паров).
Затем пересчитаем абсолютные влажности А в пространственное распределение точки росы ТТР (см.вложение2).
Если ТТР оказывается всюду ниже, чем Т, то никаких конденсаций водяных паров внутри слоя нет.
Воздух считается сухим.
Если ТТРБ выше, чем ТТРК, то имеем режим суховоздушной паровой сауны (с выделением росы на кожу).
Если ТТРБ ниже, чем ТТРК, то имеем режим суховоздушной сухой сауны (с испарением влаги с кожи).
*Если Исупов замерит высокую ТТРБ в бане, то это не значит, что и у кожи будет высокая ТТТК.
Человек находится в "рубашке" ("коконе") совсем иной влажности...
|
| Описание: |
|
| Размер файла: |
538.86 КБ |
| Просмотров: |
13 раз(а) |

|
| Описание: |
|
| Размер файла: |
61.97 КБ |
| Просмотров: |
11 раз(а) |

|
|
|
  |
 |
Юрий Хошев

Зарегистрирован: Пн 17 Ноябрь 2008, 18:32
Сообщения: 5732
Регион: Москва
|
Добавлено:
Ср 14 Май 2025, 22:35
|
  |
| Юрий Хошев писал(а): |
| Человек находится в "рубашке" ("коконе") совсем иной влажности... |
Этот факт находится в кажущемся противоречии с обывательскими представлениями - житейски казалось бы, что если тело находится в относительно холодном воздухе "рубашки", то нет и нагрева тела.
На самом же деле, локальное термодинамическое состояние среды не имеет никакого отношения в тепловому потоку в среде.
Важно лишь, как изменяются термодинамические состояния среды в пространстве.
Тепловые потоки и диффузионные потоки пара зависят не от локальных Т и ТТР, а от скоростей их изменения в пространстве - градиентов Т и ТТР (производных по координате).
*Точно так же, кстати, теплосодержание топочной среды (энтальпия - "нагретость", к примеру, в частности) не определяет теплонапряженность топочного пространства (скорость тепловыделения в топке).
|
| Описание: |
|
| Размер файла: |
130.56 КБ |
| Просмотров: |
15 раз(а) |

|
|
|
  |
 |
Vad
Зарегистрирован: Вт 7 Декабрь 2021, 10:41
Сообщения: 2884
Регион: Беларусь
|
Добавлено:
Ср 14 Май 2025, 23:04
|
  |
| Юрий Хошев писал(а): |
Моя попытка в Википедии (пройти текстуально весь исторический путь развития парных бань всех времен и народов) потерпела фиаско - такое наукообразие сочли излишним для энциклопедии, было названо "оригинальным научным исследованием" и под формальным предлогом (запрета цитирования социальных форумов) было удалено украинским модератором ВикиЗауэром.
|
Идиотизм, сочувствую.
|
|
|
|
  |
 |
Vladimir-spb

Зарегистрирован: Вт 24 Январь 2017, 17:28
Сообщения: 1476
Регион: S-Pb
|
Добавлено:
Чт 15 Май 2025, 10:12
|
  |
| Юрий Хошев писал(а): |
*Точно так же, кстати, теплосодержание топочной среды (энтальпия - "нагретость", к примеру, в частности) не определяет теплонапряженность топочного пространства (скорость тепловыделения в топке). |
За термин "нагретость" .. отдельное спасибо . Т.е объемная удельная энтальпия Дж/м3 , а теплонапряженность объема Вт/м3 ? И связаны они через производную, так ?
|
|
|
|
   |
 |
Юрий Хошев

Зарегистрирован: Пн 17 Ноябрь 2008, 18:32
Сообщения: 5732
Регион: Москва
|
Добавлено:
Чт 15 Май 2025, 13:01
|
  |
| Vad писал(а): |
| Идиотизм, сочувствую. |
Нет. Не идиотизм. И не в полной мере.
Модератор действовал по правилам Википедии - допустимы лишь общепризнанные источники.
Раз Княгиня Екатерина Дашкова написала в Словаре Академии Российской "парятся и моются", то это только и можно писать.
А то тут умники в интернет-энциклопедии такой отсебятины понапишут...
Тем более ссылаясь на народные интернет-форумы.
Не хуже, чем Даль, которого в Империи ругали за то, что он не только выдумывает смысл слов, но даже сами неведомые слова сочиняет, которых ни в литературе, ни в народе никогда не было и никогда не будет.
|
| Описание: |
|
| Размер файла: |
72.35 КБ |
| Просмотров: |
17 раз(а) |

|
|
|
  |
 |
Юрий Хошев

Зарегистрирован: Пн 17 Ноябрь 2008, 18:32
Сообщения: 5732
Регион: Москва
|
Добавлено:
Чт 15 Май 2025, 13:17
|
  |
| Vladimir-spb писал(а): |
| Юрий Хошев писал(а): |
*Точно так же, кстати, теплосодержание топочной среды (энтальпия - "нагретость", к примеру, в частности) не определяет теплонапряженность топочного пространства (скорость тепловыделения в топке). |
За термин "нагретость" .. отдельное спасибо . Т.е объемная удельная энтальпия Дж/м3 , а теплонапряженность объема Вт/м3 ? И связаны они через производную, так ? |
Теплонапряженность пропорциональна производной от теплосодержания?
Теплонапряженность - не известно откуда взявшийся термин.
В нашей технической литературе нет на него литературного источника.
Вам и решать.
=
*Дашкова сказала - "парятся и моются".
А Жуковский (наставник Александра Первого) взял и перевел из Гомера "отвела на стремнину (ручей)" как "отвела в баню".
Ну и где здесь "парятся"? Где "здание"? Где "платёж", в конце концов?
|
|
|
|
  |
 |
Vad
Зарегистрирован: Вт 7 Декабрь 2021, 10:41
Сообщения: 2884
Регион: Беларусь
|
Добавлено:
Чт 15 Май 2025, 13:53
|
  |
| Юрий Хошев писал(а): |
| Vad писал(а): |
| Идиотизм, сочувствую. |
Нет. Не идиотизм. И не в полной мере. |
Он самый.
Поясню на личном примере.
Лично я могу быть не согласен с Вами категорически - и не в одном вопросе, а во многих.
Но одновременно я знаю совершенно точно, что Ваши размышления и тексты в целом - это не какой-то детский сад или копипаст, это очень серьёзно.
И поэтому нормальный админ должен был найти возможности и варианты, а не просто отпилить сук, на котором сам и сидит...
|
|
|
|
  |
 |
Юрий Хошев

Зарегистрирован: Пн 17 Ноябрь 2008, 18:32
Сообщения: 5732
Регион: Москва
|
Добавлено:
Чт 15 Май 2025, 14:52
|
  |
| Юрий Хошев писал(а): |
| Если ТТР оказывается всюду ниже, чем Т, то никаких конденсаций водяных паров внутри слоя нет. |
Теперь рассмотрим случай, когда конденсация в погранслое есть (или возможна).
Рисунок левый.
Воздух в бане (и погранслой с "исходными" температурами Т) увлажняем до предела - ТТРБ = ТБ.
Тогда ТТР в слое становится всюду выше, чем "исходная" Т ("тяжелый пар").
Начинается объемная конденсация (в туман) с выделением скрытой теплоты конденсации.
"Исходная" температура Т поднимается от "исходной" до ТТР.
Выше стать не может. И ниже не может.
В результате, видим, что grad T (и тепловой поток) около кожи становится больше, в сухом воздухе.
Причем тепловой поток монотонно увеличивается при приближении к коже (кривая Т выгнута вверх).
Вывод.
Сырой (влажный) воздух "горячее" для человека, чем сухой (хотя коэффициент теплопроводности воздуха в слое не изменяется или изменяется слабо).
Рисунок правый.
Поднимаем температуру в бане ТБ выше ТТРБ ("легкий пар").
Тогда прямая Т пересекает линию ТТР - конденсация происходит только вблизи кожи.
И температура поднимается от "исходной" до ТТР только вблизи кожи.
Разогрев конденсацией в целом в слое уменьшается, но тепловой поток от воздуха бани увеличивается.
В результате "плюс на минус" - тепловой поток остается точно таким же, как в случае полностью увлажненного погранслоя.
Вывод.
Тепловой поток на кожу не зависит от температуры в бане ТБ.
А определяется только точкой росы в бане ТТРБ!
Ситуация сама по себе обыденна и много раз отмечалась в литературе.
Но с точки зрения ЛП очень даже неожиданная - вопреки Исупову повышение температуры в бане ТБ не приводит к "умягчению" воздействия пара.
Что-то мы в расчетах не учли...
И тут вспоминаем ситуацию - сидим спокойно в бане, кто-то поддает потихоньку, но мы ничего особенного не чувствуем.
Вдруг при попытке двинуть рукой (или поглубже вдохнуть, или махнуть веником) неожиданно чувствуем ожог-ошпаривание - оказывается мы не в состоянии даже двинуться с места...
А дело в том, что умягчающая особенность легкого пара проявляется лишь при наличии движений воздуха относительно кожи.
Так что дальнейший план таков:
1. Надо учесть движения воздуха - и естественные движения в слое (стефановский поток-ветер), и ветер от веника, и от собственных перемещений...
2. Еще надо учесть и неминуемый нагрев кожи, который повышает ТТРК и может переводить ситуацию в режим сухой суховоздушной сауны.
Будем рисовать графики...
|
| Описание: |
|
| Размер файла: |
377.16 КБ |
| Просмотров: |
23 раз(а) |

|
| Описание: |
|
| Размер файла: |
177.07 КБ |
| Просмотров: |
21 раз(а) |

|
|
|
  |
 |
Юрий Хошев

Зарегистрирован: Пн 17 Ноябрь 2008, 18:32
Сообщения: 5732
Регион: Москва
|
Добавлено:
Чт 15 Май 2025, 15:35
|
  |
| Vad писал(а): |
| Юрий Хошев писал(а): |
| Vad писал(а): |
| Идиотизм, сочувствую. |
Нет. Не идиотизм. И не в полной мере. :D |
Он самый.
Поясню на личном примере.:)
Лично я могу быть не согласен с Вами категорически - и не в одном вопросе, а во многих.
Но одновременно я знаю совершенно точно, что Ваши размышления и тексты в целом - это не какой-то детский сад или копипаст, это очень серьёзно.
И поэтому нормальный админ должен был найти возможности и варианты, а не просто отпилить сук, на котором сам и сидит... |
Я Вас понимаю. Но модератор - это как инспектор ГИБДД.
Он не помогает. Не управляет. Он контролирует.
Формально имел право удалить. Я не спорил. Зачем?
Но в то же время он оставил почему-то мою русскую паровую баню.
https://ru.wikipedia.org/wiki/Русская_паровая_баня
Которая без паровой совсем не звучит. Слабая. Запутанная.
Но закон на то и закон, что его не всегда выполняют...
=
* Мне понравился в Википедии вики-язык.
Всегда можно зайти. Быстренько что-то добавить и исправить.
И тут же автоматом все переформатируется. Статья растет.
В Кварке это проблема. При большом объеме текста - не решаемая.
В этом смысле я не очень понимаю наших интернет-энциклопедистов.
Типа Циклопедии и РусВики.
Передрали без стеснений и исправлений материалы с Википедии.
А вот возможность обратной связи не обеспечили.
Впрочем, это касается и наших псевдозаменителей Ютюба...
Коммерциализация так и прет. С избытком. Вплоть до откровенной жадности.
|
|
|
|
  |
 |
Vladimir-spb

Зарегистрирован: Вт 24 Январь 2017, 17:28
Сообщения: 1476
Регион: S-Pb
|
Добавлено:
Пт 16 Май 2025, 14:32
|
  |
| Юрий Хошев писал(а): |
Теплонапряженность - неизвестно откуда взявшийся термин.
В нашей технической литературе нет на него литературного источника.
Вам и решать.
|
Юрий Михайлович.. но это же не совсем так. Еще в ГОСТ 2127-4 применялся этот термин при расчетах топки с размерностью ккал/м3 час. Нагорский в своей книге определял " напряженность пламенного пространства как количество калорий , приходящееся в 1 час на 1м3 пламенного пространства." Т.е по сути это , как Вы говорите, "нагретость" (тепловая энергия ) объема пространства, находящаяся в этом объеме в течении некоторого времени. Мерой "нагретости" газа в объеме видимо служит температура газа. Или что то не так?
|
|
|
|
   |
 |
Юрий Хошев

Зарегистрирован: Пн 17 Ноябрь 2008, 18:32
Сообщения: 5732
Регион: Москва
|
Добавлено:
Пт 16 Май 2025, 19:49
|
  |
| Vladimir-spb писал(а): |
| Юрий Хошев писал(а): |
| Теплонапряженность - неизвестно откуда взявшийся термин. |
Еще в ГОСТ 2127-4 применялся этот термин при расчетах топки... |
У Нагорского и в ГОСТ термин и его определение есть в наличии.
Но нет ссылок, откуда он взялся.
И где замеряли эту печную intensity.
Видимо, скорее всего, в Германии или Британии.
Если узнаете, то сообщите, пожалуйста.
Я лично искал упорно.
Например, ЕвроКолчинские коэффициенты теплопередачи ("корень четвертой степени") я все же нашел у Шаха.
Там есть ссылки на исходные журнальные статьи столетней давности.
А вот теплонапряженности не нашел, хотя облазил все зарубеж-каталоги Ленинки.
Возможно сейчас, во времена интернет-поисков, история прояснится.
=
*Я не спец ни по печам, ни по баням - я любопытствующий пенсионер по старости с 1995 года.
И так случайно случилось, что Быков (Гильдия печников) заинтересовал меня колпаками.
Когда я впервые открыл ГОСТ, то поразился - как эту формальную теплонапряженность поставили выше разумного конструирования.
Ездил даже к котельщикам в "старческий" ЭНИН. И там ничего не могли прояснить.
Полное безразличие, кто и что изобрел в "древности".
Но вспомнили, что когда-то в МЭИ у котельщиков была даже студенческая лабораторная работа №7 по измерению теплонапряженности.
|
|
|
|
  |
 |
Юрий Хошев

Зарегистрирован: Пн 17 Ноябрь 2008, 18:32
Сообщения: 5732
Регион: Москва
|
Добавлено:
Пт 16 Май 2025, 20:17
|
  |
| Юрий Хошев писал(а): |
| Надо учесть движения воздуха - и естественные движения в слое (стефановский поток-ветер), и ветер от веника, и от собственных перемещений... |
Чтобы понять, какие же скорости обдува могут быть существенными для погранслоя, надо оценить скорость внутреннего "стефановского ветра".
https://ru.wikipedia.org/wiki/Стефановское_течение
Дело в том, что в погранслое имеется перепад не только концентраций пара, но и концентраций воздуха.
Сумма парциальных давлений пара и воздуха всегда равна 1 атм.
А перепады парциальных давлений составляют порядка 0,05 атм.
В результате возникает диффузия молекул воздуха (азот+кислород) от кожи в баню.
Но перепад парциальных давлений исчезнуть не может.
Поэтому неизбежно возникает поток воздуха (конвекция) из бани к коже.
Этот газовый поток широко известен в процессах испарения, конденсации, горения.
И называется стефановским (по имени автора-первооткрывателя).
Житейски объясняют так - пар устремляется (садится, конденсируется) на кожу.
И при этом газодинамически толкает на кожу массы воздуха.
А навстречу внутри газа (незаметно для глаза) "просачиваются" (диффундируют) молекулы воздух от кожи в баню.
Линейную скорость подсчитать не сложно - в паровой бане она составляет всего 0,2 мм/сек (менее 1 м в час).
То есть малейшие дуновения внешнего ветерка могут деформировать ("сдувать") рубашку.
|
| Описание: |
|
| Размер файла: |
165.43 КБ |
| Просмотров: |
14 раз(а) |

|
|
|
  |
 |
Евгений Колчин

Зарегистрирован: Чт 3 Октябрь 2002, 06:26
Сообщения: 10144
Регион: Москва
|
Добавлено:
Сб 17 Май 2025, 10:17
|
  |
| Юрий Хошев писал(а): |
ЕвроКолчинские коэффициенты теплопередачи ("корень четвертой степени") я все же нашел у Шаха.
|
упомянутые вами коэффициенты присутствуют в справочнике печника Грум-Гржимайло
|
_________________ ************************************
|
|
      |
 |
Юрий Хошев

Зарегистрирован: Пн 17 Ноябрь 2008, 18:32
Сообщения: 5732
Регион: Москва
|
Добавлено:
Сб 17 Май 2025, 16:17
|
  |
| Евгений Колчин писал(а): |
| Юрий Хошев писал(а): |
| ЕвроКолчинские коэффициенты теплопередачи ("корень четвертой степени") я все же нашел у Шаха. |
упомянутые вами коэффициенты присутствуют в справочнике печника Грум-Гржимайло |
Они присутствуют даже в современном евростандарте.
И соответственно в ГОСТе, который Вы разработали по этому евростандарту.
Но нигде не растолковывается, к чему это относится.
Как, где и зачем измерялось.
Нуссельт это замерил это век назад на модели на "письменном столе".
В определенном интервале температур. И для определенных высот теплообмена.
А где более современные замеры? На реальных печах с реальной шероховатостью...
А то ведь даже Владимир СПб верит, что на верху печи такая же теплопередача, что внизу.
Да там уже такой толстый погранслой набирается, что печь ничего и не отдает вовсе.
Тем более в его конвективных каналах...
=
И потом этот корень четвертой степени... :D
Ясно, что немец предложил.
Француз разложил бы в степенной ряд, то есть с поправками от линейности.
А американец разложил бы функции в гармоники. Синусные, интегральные.
А я бы попросту дал бы цифровую таблицу, чтоб печнику даже в арифметический столбик не считать.
Сами прикиньте, как Владимиру СПб считывать эти корни, коли пензенских карманных калькуляторов (величиной со стол) уже и в помине нету. Нет и логарифмических линеек. Нет и в телефонах синусов и корней...
И вообще, никто уже в эти печные 500 Вт/м2 не верит...
|
| Описание: |
|
| Размер файла: |
157.91 КБ |
| Просмотров: |
24 раз(а) |

|
| Описание: |
|
| Размер файла: |
438.32 КБ |
| Просмотров: |
23 раз(а) |

|
|
|
  |
 |
|
|
|
Следующая тема
Предыдущая тема
Вы не можете начинать темы Вы не можете отвечать на сообщения Вы не можете редактировать свои сообщения Вы не можете удалять свои сообщения Вы не можете голосовать в опросах Вы не можете добавлять приложения в этом форуме Вы можете скачивать файлы в этом форуме
|
|