 |
|
 |
| Автор |
Сообщение
|
Андрей Захарович
Зарегистрирован: Сб 6 Март 2021, 20:46
Сообщения: 1130
Регион: USA
|
Добавлено:
Вт 13 Январь 2026, 05:47
|
  |
| Евгений Исупов писал(а): |
Обращаю внимание, что ИИ не учитывает эффект Лейденфроста.
Для Воронцовских, где Т выше 100С и я на него забил бы, но при ваших исходных данных этот эффект учесть стоит. |
У меня исходные 650! В Воронцовских вряд ли выше. Не знаю, есть ли у ИИ мозги, но вот он похоже дельную идею подсказывает по поводу замеров ЛП. Я о банной капле.
Вопрос - Вы предлагали спроектировать простой прибор для бани для идентификации степени легкости или сухости пара. Что вы можете предложить?Хороший вопрос — и он логично вытекает из всей вашей предыдущей линии рассуждений о паре, точке росы и ощущениях в бане. Попробую предложить реалистичный, простой и физически корректный прибор, а не «маркетинговый индикатор».
1. Что именно мы хотим измерять
В банном смысле «лёгкость / сухость пара» — это не одно число, а сочетание трёх факторов:
Температура воздуха
Близость к конденсации (насколько пар “готов” осесть на коже)
Интенсивность теплопередачи при контакте с телом
Физически это лучше всего описывается:
температурой точки росы
плотностью потока конденсационного тепла на поверхности
👉 Поэтому самый честный прибор — это датчик не влажности, а склонности к конденсации.
2. Простейшая рабочая идея
«Конденсационный зонд»
Принцип
Мы намеренно создаём холодную поверхность и измеряем, сколько тепла на неё передаёт паровоздушная смесь.
Это почти то же самое, что происходит с кожей человека.
3. Конструкция (очень простая)
3.1. Чувствительный элемент
Медная или алюминиевая пластина
площадь: 5–10 см²
толщина: 1–2 мм
Почему металл:
высокая теплопроводность
быстрая реакция
легко поддерживать заданную температуру
3.2. Поддержание температуры
Пластина удерживается на температуре ниже температуры воздуха, например:
35–40 °C (аналог кожи)
Способы:
мини-Peltier элемент
либо пассивно: массивный теплоотвод с известной теплоёмкостью (ещё проще)
3.3. Измерение
Нужно всего два датчика:
температура пластины
температура окружающего воздуха
И один измеряемый параметр:
мощность, необходимая для удержания температуры пластины
4. Что показывает прибор
Вариант шкалы (пример)
Поглощаемая мощностьИнтерпретациянизкаясухой, «лёгкий» парсредняякомфортный банный режимвысокаясырой, «тяжёлый» парскачкообразный ростблизко к конденсации
⚠️ Важный момент:
чисто горячий сухой воздух тоже даёт теплопередачу, но резкий рост мощности возникает именно при начале конденсации пара.
5. Почему это лучше гигрометра
Обычный датчик влажности:
плохо работает выше 60–70 °C
не видит микроконденсацию
не коррелирует с ощущениями
Ваш прибор:
напрямую измеряет то же, что чувствует кожа
не требует знания «относительной влажности»
работает при 90–110 °C
6. Альтернатива — полностью пассивный вариант
«Банная капля»
Медный шарик (⌀ 20–30 мм)
Внутри — термопара
Перед входом в парную шарик охлаждается до 20–25 °C
В парной фиксируется:
скорость роста температуры
👉 Чем быстрее нагрев:
тем выше тепловой поток
тем «тяжелее» пар
Это простейший аналог калориметра.
7. Как это выразить числом
Можно ввести банный индекс лёгкости:
L=1Q˙condL = frac{1}{dot{Q}_{cond}}L=Q˙​cond​1​
где
Q˙conddot{Q}_{cond}Q˙​cond​ — тепловой поток конденсации (Вт/см²)
Чем больше LLL — тем пар легче.
8. Итоговая идея
Если коротко:
Лёгкость пара — это не влажность, а интенсивность конденсационного теплообмена с поверхностью температуры кожи.
И прибор должен измерять именно это.
Если хотите, в следующем шаге я могу:
подобрать конкретные компоненты (датчики, Peltier, электроника)
или помочь калибровать прибор под субъективные ощущения банщика
или разобрать, как такая шкала связана с точкой росы, о которой вы много говорили ранее
|
|
|
|
   |
 |
Евгений Исупов

Зарегистрирован: Сб 8 Апрель 2023, 07:57
Сообщения: 779
Регион: Москва
|
Добавлено:
Вт 13 Январь 2026, 07:40
|
  |
| Андрей Захарович писал(а): |
| Евгений Исупов писал(а): |
Обращаю внимание, что ИИ не учитывает эффект Лейденфроста.
Для Воронцовских, где Т выше 100С и я на него забил бы, но при ваших исходных данных этот эффект учесть стоит. |
У меня исходные 650! В Воронцовских вряд ли выше. Не знаю, есть ли у ИИ мозги, но вот он похоже дельную идею подсказывает по поводу замеров ЛП. Я о банной капле.
Вопрос - Вы предлагали спроектировать простой прибор для бани для идентификации степени легкости или сухости пара. Что вы можете предложить?Хороший вопрос — и он логично вытекает из всей вашей предыдущей линии рассуждений о паре, точке росы и ощущениях в бане. Попробую предложить реалистичный, простой и физически корректный прибор, а не «маркетинговый индикатор».
1. Что именно мы хотим измерять
В банном смысле «лёгкость / сухость пара» — это не одно число, а сочетание трёх факторов:
Температура воздуха
Близость к конденсации (насколько пар “готов” осесть на коже)
Интенсивность теплопередачи при контакте с телом
Физически это лучше всего описывается:
температурой точки росы
плотностью потока конденсационного тепла на поверхности
👉 Поэтому самый честный прибор — это датчик не влажности, а склонности к конденсации.
2. Простейшая рабочая идея
«Конденсационный зонд»
Принцип
Мы намеренно создаём холодную поверхность и измеряем, сколько тепла на неё передаёт паровоздушная смесь.
Это почти то же самое, что происходит с кожей человека.
3. Конструкция (очень простая)
3.1. Чувствительный элемент
Медная или алюминиевая пластина
площадь: 5–10 см²
толщина: 1–2 мм
Почему металл:
высокая теплопроводность
быстрая реакция
легко поддерживать заданную температуру
3.2. Поддержание температуры
Пластина удерживается на температуре ниже температуры воздуха, например:
35–40 °C (аналог кожи)
Способы:
мини-Peltier элемент
либо пассивно: массивный теплоотвод с известной теплоёмкостью (ещё проще)
3.3. Измерение
Нужно всего два датчика:
температура пластины
температура окружающего воздуха
И один измеряемый параметр:
мощность, необходимая для удержания температуры пластины
4. Что показывает прибор
Вариант шкалы (пример)
Поглощаемая мощностьИнтерпретациянизкаясухой, «лёгкий» парсредняякомфортный банный режимвысокаясырой, «тяжёлый» парскачкообразный ростблизко к конденсации
⚠️ Важный момент:
чисто горячий сухой воздух тоже даёт теплопередачу, но резкий рост мощности возникает именно при начале конденсации пара.
5. Почему это лучше гигрометра
Обычный датчик влажности:
плохо работает выше 60–70 °C
не видит микроконденсацию
не коррелирует с ощущениями
Ваш прибор:
напрямую измеряет то же, что чувствует кожа
не требует знания «относительной влажности»
работает при 90–110 °C
6. Альтернатива — полностью пассивный вариант
«Банная капля»
Медный шарик (⌀ 20–30 мм)
Внутри — термопара
Перед входом в парную шарик охлаждается до 20–25 °C
В парной фиксируется:
скорость роста температуры
👉 Чем быстрее нагрев:
тем выше тепловой поток
тем «тяжелее» пар
Это простейший аналог калориметра.
7. Как это выразить числом
Можно ввести банный индекс лёгкости:
L=1Q˙condL = frac{1}{dot{Q}_{cond}}L=Q˙​cond​1​
где
Q˙conddot{Q}_{cond}Q˙​cond​ — тепловой поток конденсации (Вт/см²)
Чем больше LLL — тем пар легче.
8. Итоговая идея
Если коротко:
Лёгкость пара — это не влажность, а интенсивность конденсационного теплообмена с поверхностью температуры кожи.
И прибор должен измерять именно это.
Если хотите, в следующем шаге я могу:
подобрать конкретные компоненты (датчики, Peltier, электроника)
или помочь калибровать прибор под субъективные ощущения банщика
или разобрать, как такая шкала связана с точкой росы, о которой вы много говорили ранее |
Какие 650? У вас 75. Я про температуру в парной.
У меня на графиках можете посмотреть.
Когда в парной 105-110С, то даже когда из печи капельки вылетят, тут же в пар рревращаются. А при 75 не факт.
Мне в Воронцовских т Очаковских пар больше нравится. В Кузьминках 80-90. А 75 это примерно как в Тайга-паре.
Температура заряда в Воронцовских обычно выше. Бывало недотапливали и около 650 было, но это прошлым летом, когда в женском разряде этажем ниже ремонт делали.
В бане Алексеева на сайте можно посмотреть температуру заряда в реальном времени. Помню иногода под 900 бывало.
В двнный момент, за полтора часа до открытия, 801С показывает.
Это вам не какие-нибудь Павелецкие, Соколиная гора или Жар-птица, где не любят хорошо протапливать.
|
_________________ Лучшие русские бани
https://t.me/banirus
|
|
  |
 |
Андрей Захарович
Зарегистрирован: Сб 6 Март 2021, 20:46
Сообщения: 1130
Регион: USA
|
Добавлено:
Ср 14 Январь 2026, 01:30
|
  |
| Евгений Исупов писал(а): |
Когда в парной 105-110С, то даже когда из печи капельки вылетят, тут же в пар превращаются. |
Если на вылете капельки или туман, то это плохая работа банщика. Мало того, что такой пар недостаточно перегрет, испарение капель и микрокапель идет с отъемом энергии из окружающей среды. Так, к сожалению, даже из хорошей каменки получают ВП.
| Евгений Исупов писал(а): |
Мне в Воронцовских т Очаковских пар больше нравится. В Кузьминках 80-90. А 75 это примерно как в Тайга-паре.
Температура заряда в Воронцовских обычно выше. Бывало недотапливали и около 650 было, но это прошлым летом, когда в женском разряде этажем ниже ремонт делали.
В бане Алексеева на сайте можно посмотреть температуру заряда в реальном времени. Помню иногода под 900 бывало.
В двнный момент, за полтора часа до открытия, 801С показывает.
Это вам не какие-нибудь Павелецкие, Соколиная гора или Жар-птица, где не любят хорошо протапливать. |
Тут интересно, какой вклад в итоговую Т дают поддачи? Дело в том, что в РБ Т не должна быть выше 60, а лучше 50. И при 60 люди парятся экстремально, если они конечно парятся, а не пар нюхают.) А какая, кстати, Т в Сандунах?
|
|
|
|
   |
 |
Евгений Исупов

Зарегистрирован: Сб 8 Апрель 2023, 07:57
Сообщения: 779
Регион: Москва
|
Добавлено:
Ср 14 Январь 2026, 01:45
|
  |
| Андрей Захарович писал(а): |
| Евгений Исупов писал(а): |
Когда в парной 105-110С, то даже когда из печи капельки вылетят, тут же в пар превращаются. |
Если на вылете капельки или туман, то это плохая работа банщика. Мало того, что такой пар недостаточно перегрет, испарение капель и микрокапель идет с отъемом энергии из окружающей среды. Так, к сожалению, даже из хорошей каменки получают ВП.
| Евгений Исупов писал(а): |
Мне в Воронцовских т Очаковских пар больше нравится. В Кузьминках 80-90. А 75 это примерно как в Тайга-паре.
Температура заряда в Воронцовских обычно выше. Бывало недотапливали и около 650 было, но это прошлым летом, когда в женском разряде этажем ниже ремонт делали.
В бане Алексеева на сайте можно посмотреть температуру заряда в реальном времени. Помню иногода под 900 бывало.
В двнный момент, за полтора часа до открытия, 801С показывает.
Это вам не какие-нибудь Павелецкие, Соколиная гора или Жар-птица, где не любят хорошо протапливать. |
Тут интересно, какой вклад в итоговую Т дают поддачи? Дело в том, что в РБ Т не должна быть выше 60, а лучше 50. И при 60 люди парятся экстремально, если они конечно парятся, а не пар нюхают.) А какая, кстати, Т в Сандунах? |
При чем здесь банщик? Эффект Лейденфроста ни кто не отменял.
Даже если в самую заднюю стенку печи закинуть. Конечно в таком случае неиспарившимся каплям вылететь шансов меньше, но есть.
Ведь не по 50г поддают.
По поводу РБ — это ваше представление, мало относящееся к реальной жизни. Я раньше тоже так думал.
В Сандунах 60 или 50 наверное бывает, когда проветривают, а когда пар приготовят, то 80-95.
https://t.me/banirus/376
|
_________________ Лучшие русские бани
https://t.me/banirus
|
|
  |
 |
Андрей Захарович
Зарегистрирован: Сб 6 Март 2021, 20:46
Сообщения: 1130
Регион: USA
|
Добавлено:
Ср 14 Январь 2026, 18:24
|
  |
| Евгений Исупов писал(а): |
При чем здесь банщик? Эффект Лейденфроста ни кто не отменял.
Даже если в самую заднюю стенку печи закинуть. Конечно в таком случае неиспарившимся каплям вылететь шансов меньше, но есть.
Ведь не по 50г поддают. |
При очень высоких температурах можно избежать эффекта Л., но добиться мгновенного и полного испарения. Для этого нужен опытный банщик. Мы с Сергеем нашли такого в Селезневских, но это большая редкость. Он исхитрялся бросать воду шайкой так, что она летела в самый конец закладки и испарялась практически не касаясь заряда. У себя я так не могу делать, но учу не лить воду, а бросать мелкими порциями как можно дальше. Скоро планирую перейти на автоматическую подачу.
| Евгений Исупов писал(а): |
По поводу РБ — это ваше представление, мало относящееся к реальной жизни. Я раньше тоже так думал.
В Сандунах 60 или 50 наверное бывает, когда проветривают, а когда пар приготовят, то 80-95.
https://t.me/banirus/376 |
Ну это совсем просто! Забей в поисковик на ютубе - температура в русской бане и быстро убедишься, что раньше ты правильно думал.)
|
|
|
|
   |
 |
Евгений Исупов

Зарегистрирован: Сб 8 Апрель 2023, 07:57
Сообщения: 779
Регион: Москва
|
Добавлено:
Чт 15 Январь 2026, 12:12
|
  |
| Андрей Захарович писал(а): |
| Евгений Исупов писал(а): |
При чем здесь банщик? Эффект Лейденфроста ни кто не отменял.
Даже если в самую заднюю стенку печи закинуть. Конечно в таком случае неиспарившимся каплям вылететь шансов меньше, но есть.
Ведь не по 50г поддают. |
При очень высоких температурах можно избежать эффекта Л., но добиться мгновенного и полного испарения. Для этого нужен опытный банщик. Мы с Сергеем нашли такого в Селезневских, но это большая редкость. Он исхитрялся бросать воду шайкой так, что она летела в самый конец закладки и испарялась практически не касаясь заряда. У себя я так не могу делать, но учу не лить воду, а бросать мелкими порциями как можно дальше. Скоро планирую перейти на автоматическую подачу.
| Евгений Исупов писал(а): |
По поводу РБ — это ваше представление, мало относящееся к реальной жизни. Я раньше тоже так думал.
В Сандунах 60 или 50 наверное бывает, когда проветривают, а когда пар приготовят, то 80-95.
https://t.me/banirus/376 |
Ну это совсем просто! Забей в поисковик на ютубе - температура в русской бане и быстро убедишься, что раньше ты правильно думал.) |
Поисковик как и ИИ найдет то что, кто-то где-то написал. Мало ли что на заборе напишут. А я сам по баням хожу и измерения делаю. Вчера в банях Малевича был. Пар по моим меркам ужасный. Влажный, шпаркий. Для любителей мягких режимов и под веник подойдет. Там как раз температура на верхнем полке на уровне головы в сидячем положении даже после поддач меньше 80С. Заряд красный, но не очень разогрет. Ковшик небольшой, грамм 100-200.
Больше туда не пойду. Совсем не мой вариант. На Ваш 75С при Ттр 50 очень похоже.
|
_________________ Лучшие русские бани
https://t.me/banirus
|
|
  |
 |
Андрей Захарович
Зарегистрирован: Сб 6 Март 2021, 20:46
Сообщения: 1130
Регион: USA
|
Добавлено:
Чт 15 Январь 2026, 16:47
|
  |
| Евгений Исупов писал(а): |
| На Ваш 75С при Ттр 50 очень похоже. |
На самом деле эти показатели ничего не говорят о качестве пара, как и те, которые вы снимаете и публикуете (хотя дело полезное). А так да, кому попадья, а кому попова дочка. К сожалению, сейчас для взаимных визитов время не самое удачное, а в хорошее время я нашего корифея приглашал и билеты ему предлагал купить, но его ощущения в носоглотке больше интересуют.
|
|
|
|
   |
 |
Евгений Исупов

Зарегистрирован: Сб 8 Апрель 2023, 07:57
Сообщения: 779
Регион: Москва
|
Добавлено:
Чт 15 Январь 2026, 18:40
|
  |
| Андрей Захарович писал(а): |
| Евгений Исупов писал(а): |
| На Ваш 75С при Ттр 50 очень похоже. |
На самом деле эти показатели ничего не говорят о качестве пара, как и те, которые вы снимаете и публикуете (хотя дело полезное). А так да, кому попадья, а кому попова дочка. К сожалению, сейчас для взаимных визитов время не самое удачное, а в хорошее время я нашего корифея приглашал и билеты ему предлагал купить, но его ощущения в носоглотке больше интересуют. |
Я бы сказал, что Т и Ттр говорят, но не всё.
Влияет градиент как по Т, так и по Ттр. Чем он меньше, тем лучше.
Влияет конвекция. У хорошего пара она должна быть минимальной.
Влияет ИК. При Т< 80C и на расстояниях больше метра его влияние мизерное.
Не просто так у меня количество датчиков увеличилось и количество графиков тоже. Линии Т от разных датчиков одного цвета (кроме платины), впрочем как и Ттр ОВ тоже одного цвета. Это не случайно.
Второй логгер с 4-м датчиком не просто так стал в баню брать и линии АВ не так давно на графики добавил.
Я вижу какие-то характерные паттерны, которые дают дополнительную информацию о градиенте, то ли о конвекции, то ли о ИК -- до конца не разобрался из-за чего Ттр на нижнем датчике бывает выше, чем на верхних.
Я к тому, что по моим графикам я получаю больше информации о качестве пара, чем только по Т и Ттр. Финальных выводов ещё не сделал, так как нахожусь в процессе исследований, но какие-то промежуточные моменты и сейчас видны.
|
_________________ Лучшие русские бани
https://t.me/banirus
|
|
  |
 |
Андрей Захарович
Зарегистрирован: Сб 6 Март 2021, 20:46
Сообщения: 1130
Регион: USA
|
Добавлено:
Чт 15 Январь 2026, 22:58
|
  |
| Евгений Исупов писал(а): |
Я бы сказал, что Т и Ттр говорят, но не всё.
Влияет градиент как по Т, так и по Ттр. Чем он меньше, тем лучше.
Влияет конвекция. У хорошего пара она должна быть минимальной.
. |
Конечно Т и ТР знать важно и интересно, но о качестве пара( в смысле его легкости или сухости) ничего не говорят. А что касается ИК , то воздух для ИК прозрачен, вот что ИИ говорит Вопрос таков. В парной с температурой воздуха 75 градусов цельсия и температурой точки росы 50 градусов цельсия одна из стен выполнена из кирпича, а остальные стены, потолок и пол - выполнены из дерева. Температуру деревянных поверхностей примем равной 60 градусов цельсия, а температуру кирпичной поверхности примем равной 120 градусам цельсия. Вопрос: какова мощность, поглощаемая одним кубометром влажного воздуха за счет инфракрасного излучения от кирпичной стены.
Хороший, «взрослый» вопрос — здесь действительно важно аккуратно разделить излучение стены и поглощение его именно влажным воздухом, а не поверхностями.
Ниже дам оценочный расчёт по порядку величины, потому что без спектральных коэффициентов поглощения водяного пара точный ответ невозможен в принципе.
1. Исходные данные (приведём к физической форме)
Температуры:
Кирпичная стена:
Tст=120∘C=393 KT_{ст} = 120^circ C = 393 , KTст​=120∘C=393K
Воздух:
Tвозд=75∘C=348 KT_{возд} = 75^circ C = 348 , KTвозд​=75∘C=348K
Точка росы:
Tdp=50∘C⇒pv≈12.3 kPaT_{dp} = 50^circ C Rightarrow p_v approx 12.3 , kPaTdp​=50∘C⇒pv​≈12.3kPa
Парциальное давление водяного пара:
pv≈psat(50∘C)≈12.3 kPap_v approx p_{sat}(50^circ C) approx 12.3 , kPapv​≈psat​(50∘C)≈12.3kPa
Мольная доля пара:
xv=12.3101.3≈0.12x_v = frac{12.3}{101.3} approx 0.12xv​=101.312.3​≈0.12
Это очень влажный воздух (≈ 120 г/м³).
2. Излучательная мощность кирпичной стены
Используем закон Стефана–Больцмана:
qизл=εσT4q_{изл} = varepsilon sigma T^4qизл​=εσT4
Для кирпича:
ε≈0.9varepsilon approx 0.9ε≈0.9
σ=5.67⋅10−8sigma = 5.67 cdot 10^{-8}σ=5.67⋅10−8
qст=0.9⋅5.67⋅10−8⋅3934≈1220 Вт/м2q_{ст} = 0.9 cdot 5.67 cdot 10^{-8} cdot 393^4 approx 1220 , ext{Вт/м}^2qст​=0.9⋅5.67⋅10−8⋅3934≈1220Вт/м2 3. Что из этого может поглотить воздух
Важно:
воздух почти прозрачен в ИК,
поглощает только водяной пар,
и только в полосах 2.7, 6.3 и >12 мкм.
Эффективный коэффициент поглощения
Для влажного горячего воздуха в парной можно принять:
κH2O≈0.15–0.3 м−1kappa_{H_2O} approx 0.15 ext{–} 0.3 , ext{м}^{-1}κH2​O​≈0.15–0.3м−1
(это усреднённое значение по спектру ИК-излучения кирпича)
Примем среднее:
κ=0.2 м−1kappa = 0.2 , ext{м}^{-1}κ=0.2м−1 4. Сколько энергии поглотит 1 м³ воздуха
Используем закон Бугера–Ламберта:
A=1−e−κLA = 1 - e^{-kappa L}A=1−e−κL
Для слоя воздуха толщиной 1 м:
A=1−e−0.2≈0.18A = 1 - e^{-0.2} approx 0.18A=1−e−0.2≈0.18
То есть ≈18% ИК-излучения реально поглощается воздухом.
5. Поглощаемая мощность одним кубометром воздуха
Если рассматривать 1 м³ воздуха, примыкающий к стене площадью 1 м²:
Pпогл=qст⋅AP_{погл} = q_{ст} cdot APпогл​=qст​⋅A Pпогл≈1220⋅0.18≈220 ВтP_{погл} approx 1220 cdot 0.18 approx 220 , ext{Вт}Pпогл​≈1220⋅0.18≈220Вт ✅ Итоговый ответ
Один кубометр влажного воздуха в парной поглощает за счёт ИК-излучения кирпичной стены порядка:
200–250 Вт на м3oxed{200 ext{–} 250 , ext{Вт на м}^3}200–250Вт на м3​
(в зависимости от точного спектра, влажности и расстояния)
6. Важное физическое следствие
Это прямой радиационный нагрев воздуха, а не через конвекцию
В обычной комнате эта величина была бы в 10–20 раз меньше
В парной влажный воздух реально «нагревается излучением», а не только от поверхностей
Если хотите, дальше можем:
сравнить с конвективным теплообменом
оценить нагрев капельного пара
разобрать, почему кирпич «жжёт» сильнее дерева при той же температуре
|
|
|
|
   |
 |
Евгений Исупов

Зарегистрирован: Сб 8 Апрель 2023, 07:57
Сообщения: 779
Регион: Москва
|
Добавлено:
Пт 16 Январь 2026, 05:53
|
  |
| Андрей Захарович писал(а): |
| Евгений Исупов писал(а): |
Я бы сказал, что Т и Ттр говорят, но не всё.
Влияет градиент как по Т, так и по Ттр. Чем он меньше, тем лучше.
Влияет конвекция. У хорошего пара она должна быть минимальной.
. |
Конечно Т и ТР знать важно и интересно, но о качестве пара( в смысле его легкости или сухости) ничего не говорят. А что касается ИК , то воздух для ИК прозрачен, вот что ИИ говорит Вопрос таков. В парной с температурой воздуха 75 градусов цельсия и температурой точки росы 50 градусов цельсия одна из стен выполнена из кирпича, а остальные стены, потолок и пол - выполнены из дерева. Температуру деревянных поверхностей примем равной 60 градусов цельсия, а температуру кирпичной поверхности примем равной 120 градусам цельсия. Вопрос: какова мощность, поглощаемая одним кубометром влажного воздуха за счет инфракрасного излучения от кирпичной стены.
Хороший, «взрослый» вопрос — здесь действительно важно аккуратно разделить излучение стены и поглощение его именно влажным воздухом, а не поверхностями.
Ниже дам оценочный расчёт по порядку величины, потому что без спектральных коэффициентов поглощения водяного пара точный ответ невозможен в принципе.
1. Исходные данные (приведём к физической форме)
Температуры:
Кирпичная стена:
Tст=120∘C=393 KT_{ст} = 120^circ C = 393 , KTст​=120∘C=393K
Воздух:
Tвозд=75∘C=348 KT_{возд} = 75^circ C = 348 , KTвозд​=75∘C=348K
Точка росы:
Tdp=50∘C⇒pv≈12.3 kPaT_{dp} = 50^circ C Rightarrow p_v approx 12.3 , kPaTdp​=50∘C⇒pv​≈12.3kPa
Парциальное давление водяного пара:
pv≈psat(50∘C)≈12.3 kPap_v approx p_{sat}(50^circ C) approx 12.3 , kPapv​≈psat​(50∘C)≈12.3kPa
Мольная доля пара:
xv=12.3101.3≈0.12x_v = frac{12.3}{101.3} approx 0.12xv​=101.312.3​≈0.12
Это очень влажный воздух (≈ 120 г/м³).
2. Излучательная мощность кирпичной стены
Используем закон Стефана–Больцмана:
qизл=εσT4q_{изл} = varepsilon sigma T^4qизл​=εσT4
Для кирпича:
ε≈0.9varepsilon approx 0.9ε≈0.9
σ=5.67⋅10−8sigma = 5.67 cdot 10^{-8}σ=5.67⋅10−8
qст=0.9⋅5.67⋅10−8⋅3934≈1220 Вт/м2q_{ст} = 0.9 cdot 5.67 cdot 10^{-8} cdot 393^4 approx 1220 , ext{Вт/м}^2qст​=0.9⋅5.67⋅10−8⋅3934≈1220Вт/м2 3. Что из этого может поглотить воздух
Важно:
воздух почти прозрачен в ИК,
поглощает только водяной пар,
и только в полосах 2.7, 6.3 и >12 мкм.
Эффективный коэффициент поглощения
Для влажного горячего воздуха в парной можно принять:
κH2O≈0.15–0.3 м−1kappa_{H_2O} approx 0.15 ext{–} 0.3 , ext{м}^{-1}κH2​O​≈0.15–0.3м−1
(это усреднённое значение по спектру ИК-излучения кирпича)
Примем среднее:
κ=0.2 м−1kappa = 0.2 , ext{м}^{-1}κ=0.2м−1 4. Сколько энергии поглотит 1 м³ воздуха
Используем закон Бугера–Ламберта:
A=1−e−κLA = 1 - e^{-kappa L}A=1−e−κL
Для слоя воздуха толщиной 1 м:
A=1−e−0.2≈0.18A = 1 - e^{-0.2} approx 0.18A=1−e−0.2≈0.18
То есть ≈18% ИК-излучения реально поглощается воздухом.
5. Поглощаемая мощность одним кубометром воздуха
Если рассматривать 1 м³ воздуха, примыкающий к стене площадью 1 м²:
Pпогл=qст⋅AP_{погл} = q_{ст} cdot APпогл​=qст​⋅A Pпогл≈1220⋅0.18≈220 ВтP_{погл} approx 1220 cdot 0.18 approx 220 , ext{Вт}Pпогл​≈1220⋅0.18≈220Вт ✅ Итоговый ответ
Один кубометр влажного воздуха в парной поглощает за счёт ИК-излучения кирпичной стены порядка:
200–250 Вт на м3oxed{200 ext{–} 250 , ext{Вт на м}^3}200–250Вт на м3​
(в зависимости от точного спектра, влажности и расстояния)
6. Важное физическое следствие
Это прямой радиационный нагрев воздуха, а не через конвекцию
В обычной комнате эта величина была бы в 10–20 раз меньше
В парной влажный воздух реально «нагревается излучением», а не только от поверхностей
Если хотите, дальше можем:
сравнить с конвективным теплообменом
оценить нагрев капельного пара
разобрать, почему кирпич «жжёт» сильнее дерева при той же температуре |
Формулы проверять не буду, но похоже на правду.
Исходные данные для вашей бани наверное реальные, а для общественной бани будут немного странные.
Общественную баню топят ночью. Если на Т печи 120С, то утром на стенах и потолке будет тоже около 120С. Чтобы получить 60 надо хорошенько холодной водой пролить из шланга. Но с такими охлажденными стенами пар будет хуже при одной и той же температуре заряда, которая у вас 650С.
Опять же когда на стене печи 120, а на стенах 60, то конвекция будет сильная.
Ещё замечу, что не весь кубометр воздуха, прилегающий к стене печи поглощает одинаково. Ближний слой у самой печи, а дальний меньше пропорционально квадрату расстояния. Это только усиливает конвекционный поток у стены печи.
Можно попросить посчитать какая мощность идет на конвекционный нагрев. Думаю существенно больше, чем 200-250 вт на куб.
|
_________________ Лучшие русские бани
https://t.me/banirus
|
|
  |
 |
Андрей Захарович
Зарегистрирован: Сб 6 Март 2021, 20:46
Сообщения: 1130
Регион: USA
|
Добавлено:
Пт 16 Январь 2026, 06:57
|
  |
Я так понимаю, в общественных банях вениками мало пользуются? При таких параметрах в них уже нет необходимости.
|
|
|
|
   |
 |
Евгений Исупов

Зарегистрирован: Сб 8 Апрель 2023, 07:57
Сообщения: 779
Регион: Москва
|
Добавлено:
Пт 16 Январь 2026, 07:48
|
  |
| Андрей Захарович писал(а): |
| Я так понимаю, в общественных банях вениками мало пользуются? При таких параметрах в них уже нет необходимости. |
Почему же, вениками пользуются.
Во-первых как правило есть процедурные парные, где можно получить услугу индивидуального парения.
В Сандунах, Банях Алексеева, Калитниках, Очаковских и многих других в основной парной между приготовлениями свежего пара такую услугу оказывают.
Самопарщиков много. В разных банях по-разному, но примерно каждый четвертый заходы с веником делает.
В бани Малевича я два веника принес, но даже замачивать не стал.
|
_________________ Лучшие русские бани
https://t.me/banirus
|
|
  |
 |
Юрий Хошев

Зарегистрирован: Пн 17 Ноябрь 2008, 18:32
Сообщения: 6242
Регион: Москва
|
Добавлено:
Пт 16 Январь 2026, 22:23
|
  |
| Юрий Хошев писал(а): |
| Евгений Исупов писал(а): |
АВ по формуле...
|
Спасибо за формулы. Надо теперь АВ на плотность влажного воздуха разделить... |
Собирался было сам "в лоб" просчитать плотность...
Но "возиться" с массами молекул совсем не захотелось.
Поэтому начал со стандартной формулы Магнуса, которую любезно прислал Исупов.
И вдруг вижу, что расчет абсолютной влажности там идет на объем СУХОГО воздуха!
Стал копаться и совсем запутался в мелочах. Мало того, что у Исупова терминологическая ошибка, так и во французской Вики опечатка. И наши эту ошибку потянули еще дальше...
И вообще, массовая влажность, которая в метеорологии называется удельной влажностью, теперь нормативно переименована в массовую долю и тд.
*Это я как-бы поплакался. Для сведения и предупреждения.
Пользоваться ни ВИКИ, ни сайтами, ни интернет ресурсами не надо.
Но, к сожалению, они все вокруг нас заполонили. Вытеснили-вытолкали тиражные книги.
Гугл поиск фактически заблокирован. До учебников и стандартов не доберешься...
Надежд, что ИИ исправит эту стихийную ситуацию, мало.
|
| Описание: |
|
| Размер файла: |
75.23 КБ |
| Просмотров: |
18 раз(а) |

|
| Описание: |
|
| Размер файла: |
199.96 КБ |
| Просмотров: |
24 раз(а) |

|
| Описание: |
|
| Размер файла: |
68.48 КБ |
| Просмотров: |
19 раз(а) |

|
| Описание: |
|
| Размер файла: |
136.16 КБ |
| Просмотров: |
24 раз(а) |

|
| Описание: |
|
| Размер файла: |
123.47 КБ |
| Просмотров: |
25 раз(а) |

|
|
|
  |
 |
Юрий Хошев

Зарегистрирован: Пн 17 Ноябрь 2008, 18:32
Сообщения: 6242
Регион: Москва
|
Добавлено:
Пт 16 Январь 2026, 22:31
|
  |
| Юрий Хошев писал(а): |
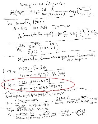
| Поэтому начал со стандартной формулы Магнуса |
Если у Исупова формула для парциального давления пара Ра совпадает, то расчет массовой влажности М (удельной влажности, массовой доли водяного пара) лучше провести через имеющиеся данные по абсолютной влажности воздуха АВ.
|
| Описание: |
|
| Размер файла: |
66.19 КБ |
| Просмотров: |
19 раз(а) |

|
| Описание: |
|
| Размер файла: |
479.45 КБ |
| Просмотров: |
30 раз(а) |

|
|
|
  |
 |
Евгений Исупов

Зарегистрирован: Сб 8 Апрель 2023, 07:57
Сообщения: 779
Регион: Москва
|
Добавлено:
Пт 16 Январь 2026, 23:00
|
  |
| Юрий Хошев писал(а): |
| Юрий Хошев писал(а): |
| Поэтому начал со стандартной формулы Магнуса |
Если у Исупова формула для парциального давления пара Ра совпадает, то расчет массовой влажности М (удельной влажности, массовой доли водяного пара) лучше провести через имеющиеся данные по абсолютной влажности воздуха АВ. |
Я правильно понял, в таблицу надо формулу вбить, что от руки написана и красным обведена?
АВ я считаю для четырех датчиков, на графики вывожу только два: с 1-го, самого верхнего и 4-го — самого нижнего.
М с каких датчиков на график лучше вывести?
Какой цвет им определить? Какой-нибудь фиолетовый?
Пока не знаю какой диапазон значений там будет. Может придется справа вторую шкалу цеплять.
|
_________________ Лучшие русские бани
https://t.me/banirus
|
|
  |
 |
Юрий Хошев

Зарегистрирован: Пн 17 Ноябрь 2008, 18:32
Сообщения: 6242
Регион: Москва
|
Добавлено:
Пт 16 Январь 2026, 23:01
|
  |
| Андрей Захарович писал(а): |
| Я о банной капле. |
С этой "каплей" все уши прожжужали на Скоропарке Бессонова.
Сначала стены "текут ручьями" от конденсата.
Потом стена нагревается до Тр и начинает сохнуть досуха.
Вот люди и замечают, что тело начинает подсыхать при прогреве.
Если этот момент физиологически переносим кожей, то это ЛП (по Петрову, Маслову, Хошеву и тд).
Много влаги и мало температуры - лицо под глазами распарено, течет, на экстремуме шпарит (при обмахивании).
Мало влаги и много температуры - лицо стягивается, подсыхает, на экстремуме обжигает (при обмахивании).
https://t.me/BanyaNature/93
Но Вы же не чувствуете "ничего". Обратитесь к В.Конопле.
Будем надеяться, что он растолкует, что чувствовала Жанна в огне костра.
Если трудно "танцевать" от бани-прачки (повышая температуру), то можно "танцевать" от сауны (повышая влажность).
Ощущения сухости-стянутости раскалённой кожи ослабевают при повышении влажности кожи.
Ладно. Это просто комментарий в защиту Ваших ощущений ЛП.
Все зависит от температуры рогового слоя кожи, которая должна быть выше Тр...
|
Последний раз редактировалось: Юрий Хошев (Пт 16 Январь 2026, 23:30), всего редактировалось 2 раз(а) |
|
  |
 |
Юрий Хошев

Зарегистрирован: Пн 17 Ноябрь 2008, 18:32
Сообщения: 6242
Регион: Москва
|
Добавлено:
Пт 16 Январь 2026, 23:23
|
  |
| Евгений Исупов писал(а): |
| Я правильно понял, в таблицу надо формулу вбить, что от руки написана и красным обведена? |
Да.
| Евгений Исупов писал(а): |
| С каких датчиков на график лучше вывести? |
У Вас будут сохраняться данные со всех датчиков и всех параметров(в таблице?).
Из них надо сделать выборочные графики Т1, Т4, М1, М4.
| Евгений Исупов писал(а): |
| Какой цвет им определить? Какой-нибудь фиолетовый? |
Фиолетовый.
| Евгений Исупов писал(а): |
| Пока не знаю какой диапазон значений там будет. Может придется справа вторую шкалу цеплять. |
Конечно. Вообще говоря, М от 0 до 1 (выхлоп каменки). В парилка от 0 до 0,1-0,15.
*Далее, конечным итогом должны стать не временные зависимости Т(t) и М(t).
А кривая или отдельные точки М(Т) вообще без привязки ко времени.
Но пока ее будем строить вручную...
|
|
|
|
  |
 |
Евгений Исупов

Зарегистрирован: Сб 8 Апрель 2023, 07:57
Сообщения: 779
Регион: Москва
|
Добавлено:
Сб 17 Январь 2026, 02:19
|
  |
| Юрий Хошев писал(а): |
| Евгений Исупов писал(а): |
| Я правильно понял, в таблицу надо формулу вбить, что от руки написана и красным обведена? |
Да.
| Евгений Исупов писал(а): |
| С каких датчиков на график лучше вывести? |
У Вас будут сохраняться данные со всех датчиков и всех параметров(в таблице?).
Из них надо сделать выборочные графики Т1, Т4, М1, М4.
| Евгений Исупов писал(а): |
| Какой цвет им определить? Какой-нибудь фиолетовый? |
Фиолетовый.
| Евгений Исупов писал(а): |
| Пока не знаю какой диапазон значений там будет. Может придется справа вторую шкалу цеплять. |
Конечно. Вообще говоря, М от 0 до 1 (выхлоп каменки). В парилка от 0 до 0,1-0,15.
*Далее, конечным итогом должны стать не временные зависимости Т(t) и М(t).
А кривая или отдельные точки М(Т) вообще без привязки ко времени.
Но пока ее будем строить вручную... |
Понятно. Да, у меня в таблице все данные хранятся. Вывожу на графики не всё: аудитория, в том числе Сергей Калинин ропщет на количество графиков.
Вопрос: АВ считать по той же формуле что и раньше?
Я для М и Т могу отдельный шаблон сделать и специально для вас графики строить. Особенно если вам привязка ко времени не нужна.
P.S. Марат сейчас в разъездах. Как вернется в Москву сходим с ним в высший разряд бань Алексеева, продолжим эксперимент.
|
_________________ Лучшие русские бани
https://t.me/banirus
|
|
  |
 |
Андрей Захарович
Зарегистрирован: Сб 6 Март 2021, 20:46
Сообщения: 1130
Регион: USA
|
Добавлено:
Сб 17 Январь 2026, 03:06
|
  |
| Юрий Хошев писал(а): |
Вот люди и замечают, что тело начинает подсыхать при прогреве.
Если этот момент физиологически переносим кожей, то это ЛП (по Петрову, Маслову, Хошеву и тд).
|
Если уж два пара с одинаковыми Т и ТР могут быть разными, то ориентироваться на ощущения разных людей для определения ЛП и вовсе занятие бесполезное. На сегодня мы установили или с большой долей вероятности предположили, что разница между двумя ПВС с одинаковыми параметрами заключается в скорости конденсации. К сожалению, никто не берется эту скорость измерять, но я смотрю на графики Исупова, где ТР 50, а Т в районе 100 и плюс пар с красного заряда и у меня все таки есть подозрение, что пар там с низкой нормой конденсации, а следовательно можно предположить, что он легкий. По крайней мере во многих случаях. ЛП получить очень сложно, но при 100 проще, чем при 75. Другое дело, что при 100 это для подышать.
|
|
|
|
   |
 |
Евгений Исупов

Зарегистрирован: Сб 8 Апрель 2023, 07:57
Сообщения: 779
Регион: Москва
|
Добавлено:
Сб 17 Январь 2026, 04:08
|
  |
| Андрей Захарович писал(а): |
| Юрий Хошев писал(а): |
Вот люди и замечают, что тело начинает подсыхать при прогреве.
Если этот момент физиологически переносим кожей, то это ЛП (по Петрову, Маслову, Хошеву и тд).
|
Если уж два пара с одинаковыми Т и ТР могут быть разными, то ориентироваться на ощущения разных людей для определения ЛП и вовсе занятие бесполезное. На сегодня мы установили или с большой долей вероятности предположили, что разница между двумя ПВС с одинаковыми параметрами заключается в скорости конденсации. К сожалению, никто не берется эту скорость измерять, но я смотрю на графики Исупова, где ТР 50, а Т в районе 100 и плюс пар с красного заряда и у меня все таки есть подозрение, что пар там с низкой нормой конденсации, а следовательно можно предположить, что он легкий. По крайней мере во многих случаях. ЛП получить очень сложно, но при 100 проще, чем при 75. Другое дело, что при 100 это для подышать. |
Я вениками прекрасно парюсь в тех же Воронцовских, стоя на топчане, который чуть выше нижнего полка. На голове 120-130С, у ног 90-95. Пар не шпаркий. Веник именно прижигает, а не пришпариваеи. За 5-6 минут не высыхает, поскольку Ттр высокая.
Да, можно ссылаться на калибровку, погрешность датчиков, но все 4 показывают более-менее одинаково и для контроля платина есть, особенно когда SHT85 при 130С начинает горизонталь рисовать.
https://t.me/banirus/1016
|
_________________ Лучшие русские бани
https://t.me/banirus
|
|
  |
 |
|
|
|
Следующая тема
Предыдущая тема
Вы не можете начинать темы Вы не можете отвечать на сообщения Вы не можете редактировать свои сообщения Вы не можете удалять свои сообщения Вы не можете голосовать в опросах Вы не можете добавлять приложения в этом форуме Вы можете скачивать файлы в этом форуме
|
|