 |
|
 |
| Автор |
Сообщение
|
Евгений Колчин

Зарегистрирован: Чт 3 Октябрь 2002, 06:26
Сообщения: 10146
Регион: Москва
|
Добавлено:
Чт 28 Январь 2010, 14:39
|
  |
Отсканированный с подлинника ГОСТ 3000-45 "Печи отопительные теплоемкие. Метод испытания" можно ознакомиться по ссылке
http://www.stovemaster.ru/files/Gost3000-45.rar
|
_________________ ************************************
| Описание: |
|
 Скачать |
| Название файла: |
Gost3000-45.rar |
| Размер файла: |
4.02 МБ |
| Скачено: |
70 раз(а) |
Последний раз редактировалось: Евгений Колчин (Чт 9 Декабрь 2021, 09:35), всего редактировалось 3 раз(а) |
|
      |
 |
Евгений Колчин

Зарегистрирован: Чт 3 Октябрь 2002, 06:26
Сообщения: 10146
Регион: Москва
|
Добавлено:
Вс 31 Январь 2010, 10:38
|
  |
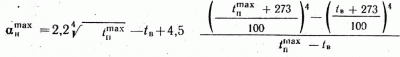
В издание ГОСТ 3000-45 обнаружена досадная опечатка.
В ст.89 некорректно отпечатано вычисление корня 4 степени из разности температур, в формуле (см. вложение)
|
_________________ ************************************
| Описание: |
|
| Размер файла: |
13.6 КБ |
| Просмотров: |
1191 раз(а) |

|
| Описание: |
|
| Размер файла: |
13.52 КБ |
| Просмотров: |
1214 раз(а) |

|
|
|
      |
 |
Евгений Колчин

Зарегистрирован: Чт 3 Октябрь 2002, 06:26
Сообщения: 10146
Регион: Москва
|
Добавлено:
Вт 2 Февраль 2010, 09:33
|
  |
Не знаю насколько подходит EN15250 под "наши нужды", но в самом начале стандарта определено:
"Данные теплоемкие отопительные приборы могут поставляться либо как уже собранные приборы, либо как заранее сконструированные производителем модули, состоящие из сборных компонентов, предназначенных для сборки на месте в соответствии с заданными производителем инструкциями по сборке. Единичное оборудование не поставляется."
Второе, относительно теплового баланса:
Коэффициент полезного действия (КПД)
- соотношение суммарной теплоотдачи к суммарному тепловложению во время периода горения. Выражается в процентах.
Суммарная теплоотдача
- суммарная теплоотдача прибора, назначаемая производителем и достигаемая посредством определенных тестовых условий во время сжигания заданного тестового топлива. Рассчитывается суммарная теплоотдача, как вложенная исключая газоходные утечки и несожженный углерод."
примерно так и будет, как и у нас
n=Q/Qт*100
Q=Qт-(Qг+Qс)
Потери на механический недожог принимаются условно 0,5% - это первое, что можно заимствовать, чтоб не вычислять по зольному остатку. Правда тогда надо внести поправки в формулу потерь с ДГ.
Второе,
средняя концентрация окиси углерода, рассчитанная в содержании 13 % кислорода (O2) в топочных газах, должна быть меньше или равна указанному производителем значению и не должна превышать 0,3 %.
(ГОСТ Р 4% к О2=0 для дров)
Третье,
суммарный КПД должен быть выше или равен указанному производителем значению и должен превышать 70 %
Четвертое,
статическое давление в газоходе должно быть пределах 12 ± 2 Па
(в замерах на канальных печах достигает до 40 Па)
Пятое,
понятие коэфициент теплоемкости - отрезок времени, когда температура на поверхности снижается от максимальной до 50% от нее и не должен быть меньше 4 часов.
Вообщем стандарт "не тянет" на теплоемкие печи в нашем понимание. Даже испытания проводят без натопа на холодную, а температуру на поверхности измеряют либо непрерывно либо с интервалом в 1 минуту.
Что можно заимствовать, так это период окончания горения. В евростандарте он определен в СО2 4% или 25% от пикового (в ГОСТ окончанием снятия газового анализа считается время до закрытия задвижки печи 5-18 минут, т.е. нет точного определения, когда закончена топка).
А в основном стандарт в части испытания похож на ГОСТ 3000, формулы расчета не проверял, т.к. методика та же. Надо применить полную автоматизацию процесса расчетов по ГОСТ, а потом проверим по стандарту. Там и посмотрим.
Для ГА Тесто снимать показания в режиме испытаний только СО2 и О2, температуру и разряжение в трубе, а для общей оценки (или при настройке) можно пользоваться заложенными в него расчетами.
|
_________________ ************************************
|
|
      |
 |
|
|
|
Следующая тема
Предыдущая тема
Вы не можете начинать темы Вы не можете отвечать на сообщения Вы не можете редактировать свои сообщения Вы не можете удалять свои сообщения Вы не можете голосовать в опросах Вы не можете добавлять приложения в этом форуме Вы можете скачивать файлы в этом форуме
|
|