 |
|
 |
| Автор |
Сообщение
|
Евгений Колчин

Зарегистрирован: Чт 3 Октябрь 2002, 06:26
Сообщения: 10151
Регион: Москва
|
Добавлено:
Ср 29 Июнь 2011, 15:57
|
  |
Температуры дымовых газов в печи ОИК ХК скорее всего завышены не по работе самой печи, а по неправильному расположению щупа в печи.
Щуп ГА размещен выше задвижки прямого хода, а она не герметична, следовательно через нее может идти "добавка" горячих газов плюс ИК излучение от чугунного листа самой задвижки в зоне работы датчика температуры дымовых газов щупа ГА.
На следующие испытания необходимо будет пересверлить отверстие в другое место.
|
_________________ ************************************
|
|
      |
 |
Шура

Зарегистрирован: Чт 8 Январь 2009, 20:09
Сообщения: 4171
Регион: Москва - Тамбов
|
Добавлено:
Чт 30 Июнь 2011, 10:53
|
  |
| Евгений Колчин писал(а): |
Температуры дымовых газов в печи ОИК ХК скорее всего завышены не по работе самой печи, а по неправильному расположению щупа в печи.
Щуп ГА размещен выше задвижки прямого хода, а она не герметична, следовательно через нее может идти "добавка" горячих газов плюс ИК излучение от чугунного листа самой задвижки в зоне работы датчика температуры дымовых газов щупа ГА.
На следующие испытания необходимо будет пересверлить отверстие в другое место. |
Показания датчиков установленых в подъёмном канале, на мой взгляд, будут более достоверные и интересные для испытаний.
|
|
|
|
   |
 |
Евгений Колчин

Зарегистрирован: Чт 3 Октябрь 2002, 06:26
Сообщения: 10151
Регион: Москва
|
Добавлено:
Чт 30 Июнь 2011, 11:28
|
  |
вполне разумно на выход подъемного канала
тогда мы терям тепловосприятие в борове
но оно нам и не столь важно
пересчитать можно на тепловоспринимающую поверхность только одного яруса
|
_________________ ************************************
|
|
      |
 |
vladgri
Зарегистрирован: Пт 8 Октябрь 2010, 08:33
Сообщения: 1857
Регион: г.Павлодар
|
Добавлено:
Пт 1 Июль 2011, 21:39
|
  |
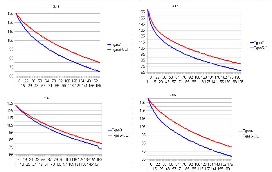
Несколько графиков по результатам испытаний.
За начало взяты точки пересечения температур, окончание определяла последняя доступная информации для одной из линий.
Вверху приблизительное время падения температур. К сожалению не у всех есть точки пересечения с результатом от 5 числа. Так же хотелось бы иметь информацию за время остывания газов до температуры воздуха.
|
| Описание: |
|
| Размер файла: |
92.79 КБ |
| Просмотров: |
1123 раз(а) |

|
|
|
  |
 |
Юрий Хошев

Зарегистрирован: Пн 17 Ноябрь 2008, 18:32
Сообщения: 6215
Регион: Москва
|
Добавлено:
Сб 23 Июль 2011, 11:50
|
  |
| vladgri писал(а): |
| Несколько графиков по результатам испытаний. |
Как я понял, за три недели ни у кого не возникло сомнений в правильности графиков ВладГри?
В таком случае, какой мы можем сделать вывод?
|
|
|
|
  |
 |
Шура

Зарегистрирован: Чт 8 Январь 2009, 20:09
Сообщения: 4171
Регион: Москва - Тамбов
|
Добавлено:
Сб 23 Июль 2011, 16:52
|
  |
| Юрий Хошев писал(а): |
| vladgri писал(а): |
| Несколько графиков по результатам испытаний. |
Как я понял, за три недели ни у кого не возникло сомнений в правильности графиков ВладГри?
В таком случае, какой мы можем сделать вывод? |
Я тогда не обратил внимание, по моему, график должен был быть примерно такой...
|
| Описание: |
|
| Размер файла: |
54.92 КБ |
| Просмотров: |
1000 раз(а) |

|
|
|
   |
 |
Юрий Хошев

Зарегистрирован: Пн 17 Ноябрь 2008, 18:32
Сообщения: 6215
Регион: Москва
|
Добавлено:
Сб 23 Июль 2011, 18:02
|
  |
| Шура писал(а): |
| по моему, график должен был быть примерно такой... |
"Должен был быть"?
Но ведь отчетливо видно /и ВладГри специально подчеркнул/, что "в натуре" температурные кривые ПЕРЕСЕКАЮТСЯ...
|
|
|
|
  |
 |
Шура

Зарегистрирован: Чт 8 Январь 2009, 20:09
Сообщения: 4171
Регион: Москва - Тамбов
|
Добавлено:
Сб 23 Июль 2011, 19:26
|
  |
| Юрий Хошев писал(а): |
| Шура писал(а): |
| по моему, график должен был быть примерно такой... |
"Должен был быть"?
Но ведь отчетливо видно /и ВладГри специально подчеркнул/, что "в натуре" температурные кривые ПЕРЕСЕКАЮТСЯ... |
Я имел в виду то , что обозначение гафиков перепутано, если я правильно понял, т.е. верхняя линия это температурный график, который должен был быть при закрытом СШ???
А что такого примечательного в пересечении, на Ваш взгляд?
|
|
|
|
   |
 |
Юрий Хошев

Зарегистрирован: Пн 17 Ноябрь 2008, 18:32
Сообщения: 6215
Регион: Москва
|
Добавлено:
Сб 23 Июль 2011, 21:55
|
  |
| Шура писал(а): |
Я имел в виду то , что обозначение гафиков перепутано, если я правильно понял, т.е. верхняя линия это температурный график, который должен был быть при закрытом СШ???
А что такого примечательного в пересечении, на Ваш взгляд? |
Синие 4,7 и 9 - Кузнецов /СШ открыт/. Красные 5 и 6 - КАМИ /СШ закрыт/.
Казалось бы, что СШ сберегает тепло в печи, так как синяя ниже /отходящие газы холоднее/. Но что было до пересечения? Синяя становится выше...
Значит, "автоматическая вьшка", которая якобы /по Колчину/ есть в "колпаках" всегда, обеспечивает сначала повышенные потери с отходящими газами? И только потом пониженные?
|
|
|
|
  |
 |
Шура

Зарегистрирован: Чт 8 Январь 2009, 20:09
Сообщения: 4171
Регион: Москва - Тамбов
|
Добавлено:
Сб 23 Июль 2011, 23:05
|
  |
| Юрий Хошев писал(а): |
| Значит, "автоматическая вьшка", которая якобы /по Колчину/ есть в "колпаках" всегда, обеспечивает сначала повышенные потери с отходящими газами? И только потом пониженные? |
Значит с грфиками всё в порядке.
Интересно посмотреть реальные графики, целиком(от начала до конца), с тем чтобы увидеть реальное расположение точки пересечения графиков(ТПГ), в том числе, относительно точки окончания топки(ТОТ).
На мой взгляд, причина того что синий график подходит к ТПГ сверху, может быть(как вариант) именно большая температура ДГ, при работе печи. Но связано это с большими потерями или с большей эффективностью изъятия тепла из топлива, неизвесно, пока не будет полного графика с обозначеной ТОТ.
Т.е. если ТПГ совпадёт с ТОТ, то можно считать, что и вьюшка работает и потери(на недожёг) меньше. А если ТПГ расположится правее или левее ТОТ, то возможны варианты, хотя, более сильный нагрев массива, во время топки, естественно будет давать и более сильный нагрев потока, какое то время после окончания топки...
|
| Описание: |
|
| Размер файла: |
60.85 КБ |
| Просмотров: |
980 раз(а) |

|
|
|
   |
 |
Юрий Хошев

Зарегистрирован: Пн 17 Ноябрь 2008, 18:32
Сообщения: 6215
Регион: Москва
|
Добавлено:
Вс 24 Июль 2011, 00:41
|
  |
| Шура писал(а): |
| если ТПГ совпадёт с ТОТ... |
Шура, изучайте отчет. А то тут уже поставили на нем крест ради корыстной политики.
------------------------------------------------------
По данным ВладГри, в начальный период после окончания топки "вьюшки" нет. А если нет "вьюшки", то нет в печи и колпака. Потому, что по Колчину "колпак" - это когда есть "вьюшка".
|
|
|
|
  |
 |
Шура

Зарегистрирован: Чт 8 Январь 2009, 20:09
Сообщения: 4171
Регион: Москва - Тамбов
|
Добавлено:
Вс 24 Июль 2011, 07:04
|
  |
| Юрий Хошев писал(а): |
| Шура писал(а): |
| если ТПГ совпадёт с ТОТ... |
По данным ВладГри, в начальный период после окончания топки "вьюшки" нет. А если нет "вьюшки", то нет в печи и колпака. Потому, что по Колчину "колпак" - это когда есть "вьюшка". |
На мой взгляд(повторюсь), это происходит от того что печь оставляется "остывать", с полностью открытыми задвижкой и поддувалом.
В реальной эксплуатации, так никогда не делается, и по крайней пере поддувало, прикрывается(уже на завершении топки).
К тому же, без данных о температурах внутренней поверхности колпака(графиков), приведённые графики температуры в трубе, мало скажут о реальном положении.
---------------------------------------------------------------
Юрий Михайлович, по Вашему(как пользователя печей), подача воздуха на испытаниях, соответствовала штатной(или по крайней мере, разумной) величине?
|
|
|
|
   |
 |
Евгений Колчин

Зарегистрирован: Чт 3 Октябрь 2002, 06:26
Сообщения: 10151
Регион: Москва
|
Добавлено:
Вс 24 Июль 2011, 09:19
|
  |
| Юрий Хошев писал(а): |
"автоматическая вьшка", которая якобы /по Колчину/ есть в "колпаках" всегда, обеспечивает сначала повышенные потери с отходящими газами? И только потом пониженные? |
обсуждение и отчет именно по этой печи в Полушкино (одноярусный колпак)
без какого либо обобщения !!
при проведение испытаний задвижка именно этой печи была открыта полностью
труба именно этой печи достаточно высокая для такой малой печи и тягу обеспечивала значительно превышающую реально требуемой
на печи не проводился натоп на регулировку, а следовательно не знаем о ней ничего
поэтому температура ДГ в трубе при топке с СШ превышала иное
за счет того, что ДГ из топки значительно вытягивало через СШ в трубу
и это было отмечено визуально
корректировка в тяге не провелась, хотя это было явно необходимо
а по "колпаку" все верно
одно из свойств "колпака", в частности классического у Грум-Гржимайло -это наличие "автоматической газовой вьюшки"
и Владгри правильно взял точку начала сравнения, т.е. с равного значения
тем более приходится сравнивать данные за разные дни (напр.07.03 с 05 или 06)
и работу ГВ даже на таком коротком отрезке нельзя не заметить
вы же сами это и отметили (странно, почему не видят этого испытатели?)
что не сделано в отчете (еще более странно)
отчет никто не забывал, а исторически он уже в архивах, как пример "однобоконаправленного" проведения испытаний и неправильной их постановки
"И я там был, мед пиво пил".
| Цитата: |
| По данным ВладГри, в начальный период после окончания топки "вьюшки" нет |
Это не его данные (тем более их в самом отчете нет), а выводы сделанные лично Вами.
Юрий М. вы действительно считаете, что без измерения реальных температур в печи (массива и газов) можно только по температуре в трубе судить о степени и разности остывания массива самой печи после топки?
Вы действительно решили проверить это на испытаниях печи в Полушкино, снабдив данной методикой участников испытаний и направив их в разрез ими же подготовленной методике?
Вы действительно считаете, что только по смоченному пальцу, поставленному по ветру, можно точно определить направление ветра и предсказать погоду на сутки?
Нет? Не считает?
Тогда почему участниками испытаний были игнорированы полностью измерения температуры внутренней стенки печи в районе колпака (термопара была установлена)? Напрашивается вытекающий вопрос. Не потому ли, что тогда без "надуманности" можно ответить однозначно о работе ГВ?
Вы не ожидали что кривые графика и здесь разойдутся? Или расчитывали, что только цифра отчета устроит "пытливого пользователя"?
Все шульмуем, ЮМ?
|
_________________ ************************************
|
|
      |
 |
Юрий Хошев

Зарегистрирован: Пн 17 Ноябрь 2008, 18:32
Сообщения: 6215
Регион: Москва
|
Добавлено:
Вс 24 Июль 2011, 10:20
|
  |
| Евгений Колчин писал(а): |
Вы действительно решили проверить это на испытаниях печи в Полушкино, снабдив данной методикой участников испытаний и направив их в разрез ими же подготовленной методике? ...
Все шульмуем, ЮМ? |
Ну а моя личность-то тут при чем?
Вы же знаете, что методику я не составлял и не согласовывал, испытания не проводил, отчет не писал.
Я просто проанализировал информацию, что любезно предоставил нам ВладГри по исходным материалам экспериментов. Так что все вопросы к нему.
|
|
|
|
  |
 |
vladgri
Зарегистрирован: Пт 8 Октябрь 2010, 08:33
Сообщения: 1857
Регион: г.Павлодар
|
Добавлено:
Вс 24 Июль 2011, 14:24
|
  |
Поверьте, я не хотел ссор и пререканий по поводу этих графиков. И сам не делал ни каких выводов, потому что информации, которую любезно предоставил С.Кириллов, крайне мало для каких либо выводов. Я просто хотел обратить внимание на некое не соответствие результатов отчета, с реальными цифрами, и хотел узнать что по этому поводу, думают посетители форума, и ничего больше. При построении графиков по данным "исходников", это лишь малая толика непонятных и достаточно противоречивых "несуразностей", есть и такие которые ставят отчет в очень неудобное положение. Но зато после анализа, у меня изменилось мнение о "испытателях". Я действительно думал, что они специально исказили отчет, а на самом деле это всего лишь некомпетентность, или недостаток опыта.
|
|
|
|
  |
 |
Евгений Колчин

Зарегистрирован: Чт 3 Октябрь 2002, 06:26
Сообщения: 10151
Регион: Москва
|
Добавлено:
Вс 24 Июль 2011, 15:07
|
  |
| Юрий Хошев писал(а): |
Ну а моя личность-то тут при чем? |
Да при том, что первым же ответом на вопрос "как оценить работу ГВ" Вы сказали "а как иначе, только так", т.е. как в отчете.
Вот и "понеслось"...
Без учета температуры внутри печи (колпака) и газов во время "выветривания" печи, тем более за промежуток времени в 3 часа, тем более на 2 опытах и тем более на печи "одноярусный колпак" делать заявления об отсутсвие АГВ в печи более чем. Оценивать работу ГВ кмк необходимо по прямому тепловому балансу, а не косвенному. Может в этом основная ошибка "испытателей".
Но все же, Вы, проанализировав предоставленные исходные данные признаете, что ГВ в печи существует и это видно на графиках. Хотя в отчете говорится об обратном. Где правда?
Владгри, вы здесь совершенно ни при чем. Предполагаю, что методика с потерь по температуре и объему определение ГВ "зрела" у А.Бацулина, как продолжение его начатой работы по определению КПД и потерь через трубу. Скорее всего он же и проконсультировался с Хошевым, который одобрил данное действо. Вот только действительно, промежуток времени д.б выбран длиннее, т.е от топки до топки или часов 12 минимум.
Да в принципе и все испытания были зациклены именно на методику А.Бацулина и проходила своеобразная "обкатка", которая так же показала несостоятельность данного метода испытаний.
|
_________________ ************************************
|
|
      |
 |
Юрий Хошев

Зарегистрирован: Пн 17 Ноябрь 2008, 18:32
Сообщения: 6215
Регион: Москва
|
Добавлено:
Вс 24 Июль 2011, 18:31
|
  |
| vladgri писал(а): |
| а на самом деле это всего лишь некомпетентность, или недостаток опыта. |
Ну вот видите... И ВладГри вслед за Колчиным предпочел обсуждать не печи, а отдельных людей и их мнения.
|
|
|
|
  |
 |
Евгений Колчин

Зарегистрирован: Чт 3 Октябрь 2002, 06:26
Сообщения: 10151
Регион: Москва
|
Добавлено:
Вс 24 Июль 2011, 18:58
|
  |
Вы же не отвечаете ни на один поставленный вопрос, поэтому Ваша "замазанность" в этом процессе однозначна.
|
_________________ ************************************
|
|
      |
 |
Юрий Хошев

Зарегистрирован: Пн 17 Ноябрь 2008, 18:32
Сообщения: 6215
Регион: Москва
|
Добавлено:
Вс 24 Июль 2011, 19:15
|
  |
| Евгений Колчин писал(а): |
| Вы же не отвечаете ни на один поставленный вопрос, поэтому Ваша "замазанность" в этом процессе однозначна. |
Ну кто я такой, чтоб отвечать на вопросы специалистов?
Это я задал вопрос печникам, рассчитывая на конструктивный ответ. В первую очередь от ВладГри.
|
|
|
|
  |
 |
Евгений Колчин

Зарегистрирован: Чт 3 Октябрь 2002, 06:26
Сообщения: 10151
Регион: Москва
|
Добавлено:
Вс 24 Июль 2011, 21:02
|
  |
| Юрий Хошев писал(а): |
В таком случае, какой мы можем сделать вывод? |
Вы ставите себя в один ряд со специалистами и таковым считаетесь.
Не надо прикидывать на себя "шкуру овечки".
Вот и слушаем от вас, в первом чтение, выводы по графикам...
Вы три недели "держались" чтоб сказать, что ГВ в печи есть?
|
_________________ ************************************
|
|
      |
 |
|
|
|
Следующая тема
Предыдущая тема
Вы не можете начинать темы Вы не можете отвечать на сообщения Вы не можете редактировать свои сообщения Вы не можете удалять свои сообщения Вы не можете голосовать в опросах Вы не можете добавлять приложения в этом форуме Вы можете скачивать файлы в этом форуме
|
|